河流距离是影响沙漠河岸林结构和功能的关键因素,由于水分条件的影响,阻碍了其再生和生物多样性。然而,很少有研究证实这种非地带性河岸林类型因水分胁迫而引起的长期结构和功能变化。
2024年11月28日,我院玉米提·哈力克教授课题组在农林科学1区期刊Journal of Forestry Research上发表题为“Dynamic changes in stand structure, diversity, and stability of desert riparian forests in Northwestern China over nearly 20 years”的研究论文,报道了荒漠河岸林结构、多样性与稳定性近20年的变化,论文第一作者为博士研究生马映栋。


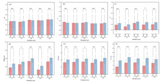
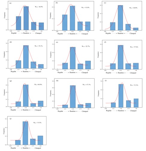
研究发现:1. 树木大小分化和树冠拥挤程度对河道距离的响应没有显著差异。然而,在离河较远处,树木空间格局出现了显著差异(p<0.05),且这种差异随时间推移愈发明显。无论距河远近或时间尺度如何,胸径、冠幅和树高均存在显著差异(p<0.05)。2.结构多样性随河道距离和时间尺度的变化而呈现出不同的趋势,表明由于水分胁迫,林分结构呈现出多样且复杂的模式。3. 与林分稳定性相关的随机体受河道距离的影响,而树木大小,尤其是冠幅和树高,起着重要作用。

图1 不同河道距离下2005年与2023年林分结构的比较

图2 2005-2023年与河道距离不同范围内的结构体变化
该研究揭示了干旱区水分条件、森林结构和功能之间的关系,突出了水分条件在荒漠河岸森林生态系统自然恢复中的重要性。研究结果为深入探索林分结构与稳定性之间的关系提供了新的见解,加深了对“随机体 - 稳定性”理论的理解。该研究为气候变化背景下,特别是水资源压力下的森林可持续管理和保护提供了科学指导。
文章DOI:https://doi.org/10.1007/s11676-024-01806-7